728x90
반응형
문제링크 : https://school.programmers.co.kr/learn/courses/30/lessons/12954
프로그래머스
코드 중심의 개발자 채용. 스택 기반의 포지션 매칭. 프로그래머스의 개발자 맞춤형 프로필을 등록하고, 나와 기술 궁합이 잘 맞는 기업들을 매칭 받으세요.
programmers.co.kr

▶ 문제 풀이
def solution(x, n):
answer = []
result = x
for _ in range(n):
answer.append(result)
result += x
return answer
▶ 다른사람 풀이(list 내포구문)
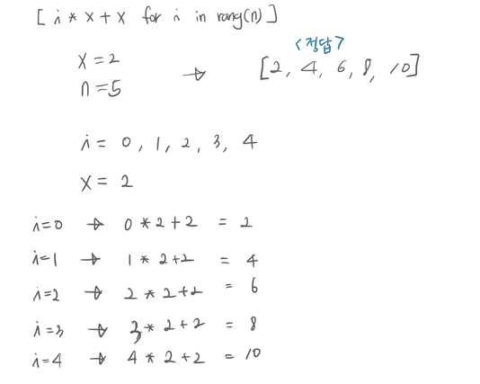
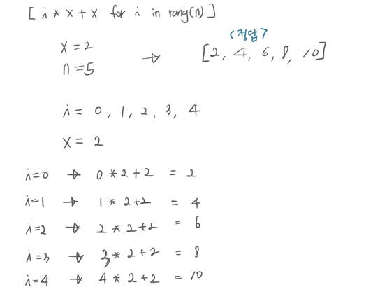
def number_generator(x, n):
# 함수를 완성하세요
return [i * x + x for i in range(n)]
# 테스트
print(number_generator(2, 5))

728x90
반응형
'알고리즘(백준, 프로그래머스) > [프로그래머스] Lv1' 카테고리의 다른 글
| [프로그래머스] Lv1. X만큼 간격이 있는 n개의 숫자 - 파이썬(Python) (0) | 2023.04.27 |
|---|---|
| [프로그래머스] Lv1. X만큼 간격이 있는 n개의 숫자 - 파이썬(Python) (0) | 2023.04.27 |
| [프로그래머스] Lv1. 나머지가 1이 되는 수 찾기 - 파이썬(Python) (0) | 2023.04.27 |
| [프로그래머스] Lv1. 자릿수 더하기 - 파이썬(Python) (0) | 2023.04.27 |
| [프로그래머스] Lv1. 평균 구하기 - 파이썬(Python) (0) | 2023.04.24 |